bantuan pelajaran yayasan tunku abdul rahman
Perlis Terengganu Kelantan Perak Selangor Negeri Sembilan Johor Sabah Sarawak Kedah Pulau Pinang semuanya ada cawangan. Bantuan Yayasan Tunku Abdul Rahman.
Btar 2022 Permohonan Biasiswa Tunku Abdul Rahman
Yayasan Tunku Abdul Rahman YTAR adalah sebuah pertubuhan yang ditubuhkan pada 1966 hasil inisiatif gagasan Utusan Melayu atau kini dipanggil sebagai Utusan Malaysia.
. BPTAR 2022 Permohonan Bantuan Pelajaran Tunku Abdul Rahman RM300 Sebulan Biasiswa Tunku Abdul Rahman BTAR adalah bertujuan untuk membantu pelajar. BPTAR 2022 Permohonan Bantuan Pelajaran Tunku Abdul Rahman RM300 Sebulan Biasiswa Tunku Abdul Rahman BTAR adalah bertujuan untuk membantu pelajar. BPTAR ini dikhususkan untuk pelajar yang berlatarbelakang keluarga miskin bagi menampung kos sara hidup untuk dua 2 semester 10 bulan sahaja semasa mengikuti pengajian sepenuh.
Cara Permohonan BTAR 2022. Biasiswa Tunku Abdul Rahman BTAR 13th February 2022. Semua calon yang berminat boleh membuat permohonan secara online dengan mengikut langkah berikut.
Sorry this form is not available. The scholarship is open to all focusing especially on high-potential students with a. Yayasan Tunku Abdul Rahman bertujuan untuk menjadi program biasiswa terkemuka di Malaysia yang berfokuskan pada nilai-nilai murni serta melibatkan komuniti B40.
Untuk makluman kini pemohon yang memenuhi syarat kelayakan boleh membuat memohon Biasiswa Tunku Abdul Rahman BTAR tahun 2022 bagi program Ijazah Sarjana. Saras journey depicts access delayed is not always access denied as she secured the Tunku Abdul Rahman Scholarship to pursue her tertiary education at Universiti Malaya.
Financial Aid Pinjaman Pendidikan Utm Pagoh Campus
Permohonan Bptar 2020 Bantuan Pelajaran B40 Ipta Rm300 Sebulan
Permohonan Bantuan Pelajaran Rm300 Sebulan Untuk Pelajar Ipta Bptar 2020
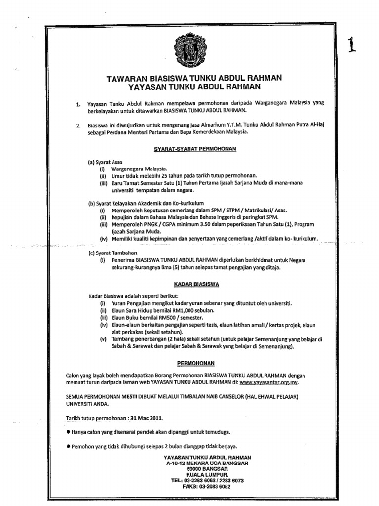
Tawaran Biasiswa Tunku Abdul Rahman Pdf
Biasiswa Tunku Abdul Rahman Lepasan Spm Stpm Matrikulasi Asasi Dan Diploma Pendidikan Malaysia
Permohonan Bptar 2022 Bantuan Pelajaran Rm300 Sebulan Kekandamemey
Pdf Borang Permohonan Biasiswa Tunku Abdul Rahman 2014 Nur Kamilah Academia Edu
Tawaran Bantuan Siswazah Tunku Abdul Rahman 2013 Senarai Biasiswa 2022 Dan Bantuan Pendidikan Scholarship Jpa Mara
Bantuan Biasiswa Dan Pinjaman Timbalan Naib Canselor Hal Ehwal Pelajar Dan Alumni Universiti Malaysia Kelantan
Permohonan Bantuan Pelajaran Rm300 Sebulan Untuk Pelajar Ipta Bptar 2020
Info Pelajar Bantuan Pelajaran Yayasan Tunku Abdul Rahman Facebook
Permohonan Bantuan Pelajaran Tunku Abdul Rahman Bptar 2020 Online My Panduan
Berita News Unimap 30 Pelajar Cemerlang Terima Bantuan Pelajaran Yayasan Tunku Abdul Rahman
Permohonan Biasiswa Yayasan Tunku Abdul Rahman Btar 202 Pusat Hal Ehwal Pelajar
Pelajar Ipta Boleh Mohon Bantuan Pelajaran Bptar Rm300 Sebulan Sinar Harian
Biasiswa Yayasan Tunku Abdul Rahman Dibuka Lepasan Stpm Matrikulasi Diploma Boleh Memohon

